服务热线
400-611-2850
百替医学是国内首家专注于医学科研咨询及技术服务的公司,专门为临床医生提供科研问题解决方案。
Phone: 400-611-2850
E-mail:: service@100biotech.com
或 在线留言 给我们
1、联系与咨询。
您可通过公司的服务热线400-611-2850和服务邮箱 service@100biotech.com,或者与您联系的百替医学服务人员,告知您的科研服务需求2、签订保密协议,洽谈具体服务内容。
在双方签订合作保密协议后,您可与百替医学科研服务咨询小组进行具体项目沟通;您和百替医学双方明确服务产品需求和具体项目要求;百替医学制作和提交项目实施方案和报价。3、双方签订合同,客户按合同支付费用。
双方对合同服务内容和价格无异议后,签订服务合同。您按合同约定支付费用,并提供必要的实验药品或样品(实验样品的寄送须采用特快专递形式邮寄,有低温要求的、固定要求的,按低温保存、固定防碎方法运输,以确保安全可靠)。4、项目实施,开始为客户提供科研咨询和技术服务。
百替医学按合同方案进行项目实施。项目实施过程中,百替医学项目经理按时与客户反馈及交流信息;百替医学开始为客户提供相关科研咨询和技术服务,并及时按合同将数据、材料、样本、模型等相关信息材料提供给客户。5、分析结果资料,整理提交数据。
百替医学技术团队分析整理数据,总结结论,将完整项目实施报告和数据、图片等相关信息提供给客户,同时根据合同处理相关的实验材料。项目报告内容将包括具体实验方法、步骤、所用试剂、仪器、数据、结果和结论等。6、项目完成,协商进一步合作。
项目完成,客户如有后续科研服务需求,双方协商进一步合作。

Clin Cancer Res | 浙大团队公布“肿瘤个体化多肽疫苗”临床研究试验数据
发布时间:2020-05-29 14:01 文章来源:未知 作者:百替生物
近日,浙江大学药学院陈枢青教授与附属邵逸夫医院肿瘤内科潘宏铭教授在《Clinical Cancer Research》杂志上发表题为:A pan-cancer clinical study of personalized neoantigen vaccine monotherapy in treating patients with various types of advanced solid tumors。在国际上率先发表了首个基于新生抗原个体化多肽疫苗单药治疗泛癌种晚期实体瘤患者的临床试验,结果显示患者疾病控制率高,且明显延长终末期晚期患者生存期。
本项临床研究入组了22例标准治疗失败的泛癌种晚期实体瘤患者,基于高通量测序数据,利用iNeo人工智能疫苗设计平台、个体化多肽药物制备及质控体系为每一位患者定制了个体化多肽疫苗iNeo-Vac-P01,经多次皮下注射后,通过免疫响应、肿瘤负荷监测等技术平台为其提供了全面的随访监测。
90.9%的受试者均无严重不良反应;38.1%的受试者病灶在新生抗原多肽疫苗治疗过程中出现缩小,最大缩少比例为16.7%;证明了个体化疫苗的安全有效。
患者治疗后外周血免疫细胞的ELISpot实验证明,80%的iNeo-Vac-P01多肽疫苗激发了抗原特异性的免疫响应,证明了iNeo人工智能平台对新生抗原筛选的准确性及疫苗设计的有效性。
此外,通过患者治疗前后的全景免疫组化显示,肿瘤浸润淋巴细胞数量及比例,特别是激活的CD8+T细胞和CD4+T细胞均有大幅提高,证明了iNeo-Vac-P01多肽疫苗明显改善了肿瘤免疫微环境,让冷肿瘤变成热肿瘤。
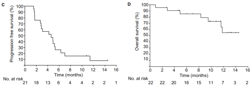
临床研究结果显示,经iNeo-Vac-P01单药治疗,患者疾病控制率(DCR)为71.4% (15/21),中位无进展生存期(PFS)为4.6个月(95% CI, 2.5-5.2),目前尚未达到中位总生存期(OS),12个月的总生存比例为55.1%((95% CI, 25.9% -76.9%)。通过TCR测序、T细胞亚群以及细胞因子检测,还发现了可以预测疗效的潜在生物标志物。
本研究为全球首次针对泛癌种标准治疗失败的晚期实体瘤患者的新生抗原多肽疫苗治疗临床试验,并且不同于国外联用PD-1抑制剂的临床方案,通过新生抗原多肽疫苗(iNeo-Vac-P01)的单药治疗,充分证明了iNeo-Vac-P01的有效性及安全性。该研究成果将加速基于新生抗原的精准免疫治疗研究,推动免疫治疗进入定制化的2.0时代。也期待更多胆管癌患者和结直肠癌患者能从新生抗原个体化多肽疫苗(iNeo-Vac-P01)中获益。